
Учебник по математике для 5 класса «Мнемозина» авторов Виленкин и Жохов представляет собой качественное пособие, которое активно используется в школьной программе. Этот учебник сочетает в себе подробные теоретические материалы, интересные задачи и увлекательные примеры, что делает его полезным инструментом для формирования базовых знаний и навыков у школьников.
ГДЗ по Математике 5 Класс Часть 1 Номер 820 Мнемозина Виленкин, Жохов — Подробные Ответы
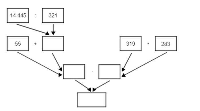
Найдите значение выражения, предварительно составив схему вычислений:
а) \((55 + 14\,445 : 321) \cdot (319 — 283)\);
б) \((48 + 1160 : 145) \cdot 27 — 12\).
a) \((55 + 2 \cdot 14445 : 321) \cdot (319 — 3 \cdot 283) = 3600\)
Решение:
1. \(14445 : 321 = 45\)
2. \(55 + 45 = 100\)
3. \(319 — 283 = 36\)
4. \(100 \cdot 36 = 3600\)
б) \((48 + 2 \cdot 1160 : 145) \cdot 27 — 4 \cdot 12 = 1500\)
Решение:
1. \(1160 : 145 = 8\)
2. \(48 + 8 = 56\)
3. \(56 \cdot 27 = 1512\)
4. \(1512 — 12 = 1500\)
a) Рассмотрим выражение \((55 + 2 \cdot 14445 : 321) \cdot (319 — 3 \cdot 283) = 3600\).
Для решения данной задачи нам необходимо выполнить следующие действия:
1. Вычислим значение первой части выражения: \(14445 : 321 = 45\). Это можно сделать, разделив 14445 на 321.
2. Затем мы складываем 55 и 45, получая в итоге 100: \(55 + 45 = 100\).
3. Далее вычитаем 283 из 319, получая 36: \(319 — 283 = 36\).
4. Наконец, умножаем 100 на 36, получая 3600: \(100 \cdot 36 = 3600\).
Таким образом, окончательный ответ: \((55 + 2 \cdot 14445 : 321) \cdot (319 — 3 \cdot 283) = 3600\).
б) Рассмотрим выражение \((48 + 2 \cdot 1160 : 145) \cdot 27 — 4 \cdot 12 = 1500\).
Для решения данной задачи нам необходимо выполнить следующие действия:
1. Сначала вычислим значение первой части выражения: \(1160 : 145 = 8\). Это можно сделать, разделив 1160 на 145.
2. Затем мы складываем 48 и 8, получая в итоге 56: \(48 + 8 = 56\).
3. Далее умножаем 56 на 27, получая 1512: \(56 \cdot 27 = 1512\).
4. Наконец, вычитаем 12 из 1512, получая 1500: \(1512 — 12 = 1500\).
Таким образом, окончательный ответ: \((48 + 2 \cdot 1160 : 145) \cdot 27 — 4 \cdot 12 = 1500\).

Любой навык лучше отрабатывать самостоятельной практикой, и решение задач — не исключение. Прежде чем обратиться к подсказкам, стоит попробовать справиться с заданием, опираясь на свои знания. Если дойти до конца удалось — проверить ответ и в случае расхождений сверить своё решение с правильным.





Оставь свой отзыв 💬
Комментариев пока нет, будьте первым!