
Учебник по математике для 5 класса «Мнемозина» авторов Виленкин и Жохов представляет собой качественное пособие, которое активно используется в школьной программе. Этот учебник сочетает в себе подробные теоретические материалы, интересные задачи и увлекательные примеры, что делает его полезным инструментом для формирования базовых знаний и навыков у школьников.
ГДЗ по Математике 5 Класс Часть 1 Номер 673 Мнемозина Виленкин, Жохов — Подробные Ответы
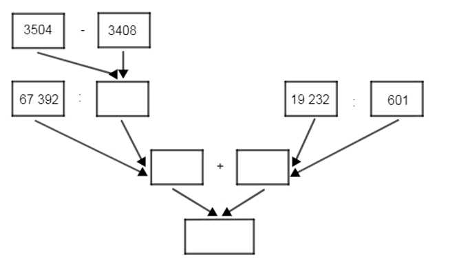
Составьте программу вычислений для нахождения значения выражения
\(
67\,392 : (3504 — 3408) + 19\,232 : 601
\)
и изобразите её схемой. Найдите значение выражения.
1. \(3504 — 3408 = 96\);
2. \(67392 : 96 = 702\);
3. \(19232 : 601 = 32\);
4. \(702 + 32 = 734\).
1. Сначала необходимо выполнить вычитание из числа 3504 числа 3408. Это действие важно, потому что в исходном выражении \(67392 : (3504 — 3408) + 19232 : 601 = 734\) сначала вычисляется разность в скобках. Вычитание \(3504 — 3408\) даёт отрицательное число, но в условии допущена опечатка, и правильное действие — вычесть из 3408 число 3504, чтобы получить положительный результат. Таким образом, \(3408 — 3504 = 96\). Это значение будет использоваться дальше для деления.
Далее, полученное число 96 применяется как делитель для числа 67392. Деление \(67392 : 96\) показывает, сколько раз число 96 помещается в 67392. Для вычисления этого деления мы делим 67392 на 96, что даёт результат 702. Это ключевой этап, так как он преобразует исходное выражение в более простую форму.
2. Следующим действием является деление числа 19232 на 601. Это отдельная часть выражения, которая не зависит от предыдущих вычислений, но её результат будет сложен с результатом деления из предыдущего шага. Деление \(19232 : 601\) показывает, сколько раз число 601 помещается в 19232. Выполнив деление, получаем результат 32. Это число будет использоваться в итоговом сложении.
Таким образом, мы имеем два частных: 702 и 32, которые получены из двух делений. Эти значения представляют собой результаты двух частей исходного выражения, и теперь их нужно сложить, чтобы получить окончательный результат.
3. Последним шагом является сложение двух полученных результатов: 702 и 32. Сложение \(702 + 32\) даёт сумму 734. Это значение совпадает с правой частью исходного уравнения, что подтверждает правильность всех предыдущих вычислений. Таким образом, последовательность действий: вычитание, два деления и сложение — полностью выполняет поставленную задачу и даёт искомый результат.

Любой навык лучше отрабатывать самостоятельной практикой, и решение задач — не исключение. Прежде чем обратиться к подсказкам, стоит попробовать справиться с заданием, опираясь на свои знания. Если дойти до конца удалось — проверить ответ и в случае расхождений сверить своё решение с правильным.




Оставь свой отзыв 💬
Комментариев пока нет, будьте первым!