
Учебник по математике для 5 класса «Мнемозина» авторов Виленкин и Жохов представляет собой качественное пособие, которое активно используется в школьной программе. Этот учебник сочетает в себе подробные теоретические материалы, интересные задачи и увлекательные примеры, что делает его полезным инструментом для формирования базовых знаний и навыков у школьников.
ГДЗ по Математике 5 Класс Часть 1 Номер 632 Мнемозина Виленкин, Жохов — Подробные Ответы
Составьте схему вычисления и найдите значение выражения:
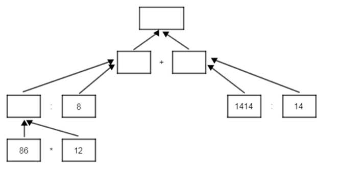
а) \(86 — 12 : 8 + 1414 : 14\);
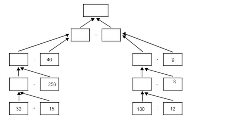
б) \((32 — 15 — 250) : 46 + (180 : 12 — 8) \cdot 9\).
а) \(86 \cdot 12 : 8 + 1414 : 14 = 230\).
— \(86 \cdot 12 = 1032\);
— \(1032 : 8 = 129\);
— \(1414 : 14 = 101\);
— \(129 + 101 = 230\).
б) \((32 \cdot 15 — 250) : 46 + (180 : 12 — 8) \cdot 9 = 68\).
— \(32 \cdot 15 = 480\);
— \(480 — 250 = 230\);
— \(230 : 46 = 5\);
— \(180 : 12 = 15\);
— \(15 — 8 = 7\);
— \(7 \cdot 9 = 63\);
— \(5 + 63 = 68\).
а) Рассмотрим выражение \(86 \cdot 12 : 8 + 1414 : 14 = 230\). Первым действием выполняется умножение, так как по правилам порядка действий умножение и деление имеют одинаковый приоритет и выполняются слева направо. Умножаем \(86\) на \(12\), получаем \(86 \cdot 12 = 1032\). Это значение мы будем использовать дальше для деления.
Далее делим полученное число \(1032\) на \(8\), что дает \(1032 : 8 = 129\). Параллельно во второй части выражения делим \(1414\) на \(14\), получая \(1414 : 14 = 101\). Теперь у нас есть два результата — \(129\) и \(101\), которые нужно сложить согласно исходному выражению. Складываем их: \(129 + 101 = 230\). Таким образом, все действия выполнены строго по порядку, и итоговое значение равно \(230\).
б) Рассмотрим выражение \((32 \cdot 15 — 250) : 46 + (180 : 12 — 8) \cdot 9 = 68\). Сначала вычисляем значение в первой скобке. Умножаем \(32\) на \(15\), получаем \(480\). Затем вычитаем из этого результата \(250\), получая \(480 — 250 = 230\). Следующим действием делим \(230\) на \(46\), что дает \(230 : 46 = 5\).
Переходим ко второй скобке. Делим \(180\) на \(12\), получаем \(15\). Из этого результата вычитаем \(8\), получается \(15 — 8 = 7\). Теперь умножаем \(7\) на \(9\), получаем \(7 \cdot 9 = 63\). Последним действием складываем результаты из двух частей: \(5 + 63 = 68\). Все операции выполнены по правилам приоритета действий и скобок, что подтверждает правильность результата.

Любой навык лучше отрабатывать самостоятельной практикой, и решение задач — не исключение. Прежде чем обратиться к подсказкам, стоит попробовать справиться с заданием, опираясь на свои знания. Если дойти до конца удалось — проверить ответ и в случае расхождений сверить своё решение с правильным.





Оставь свой отзыв 💬
Комментариев пока нет, будьте первым!