1-11 класс
  • 1-11 класс
  • 1 класс
  • 2 класс
  • 3 класс
  • 4 класс
  • 5 класс
  • 6 класс
  • 7 класс
  • 8 класс
  • 9 класс
  • 10 класс
  • 11 класс
Выберите класс
Предметы
ГДЗ по Математике 5 Класс Часть 2 Учебник 📕 Виленкин, Жохов — Все Части
Математика Часть 2
5 класс учебник Виленкин
5 класс
Тип
ГДЗ, Решебник.
Автор
Виленкин Н.Я., Жохов В.И., Чесноков А.С., Александрова Л.А., Шварцбурд С.И.
Часть
2
Год
2020-2024.
Издательство
Просвещение.
Описание

ГДЗ по математике 5 класс к учебнику Виленкина, Жохова – это незаменимый помощник для школьников, осваивающих основы математики. Он помогает лучше понять материал, закрепить навыки и успешно справляться с домашними заданиями.

ГДЗ по Математике 5 Класс Часть 2 Номер 5.471 Виленкин, Жохов — Подробные Ответы

Задача

Выполните действия:

Математика 5 класс учебник Виленкин, Жохов 2 часть, задание 5.471, 2023 год
Краткий ответ:

Подробный ответ:

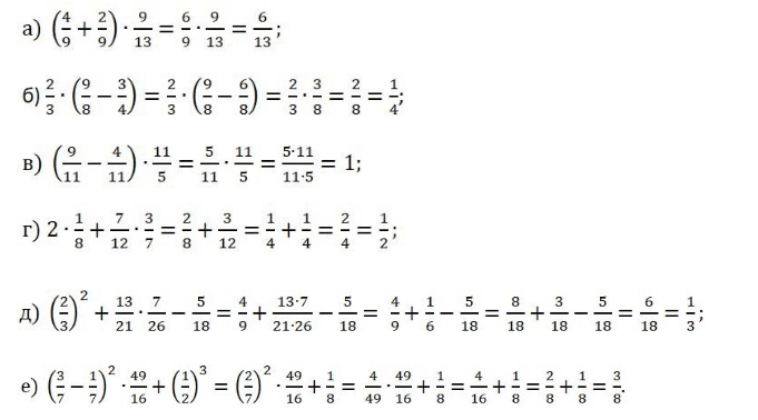
а)

(49+29)913\left( \frac{4}{9} + \frac{2}{9} \right) \cdot \frac{9}{13}

Складываем дроби с одинаковыми знаменателями:

49+29=4+29=69\frac{4}{9} + \frac{2}{9} = \frac{4 + 2}{9} = \frac{6}{9}

Умножаем полученную дробь на 913\frac{9}{13}:

69913=69913=54117\frac{6}{9} \cdot \frac{9}{13} = \frac{6 \cdot 9}{9 \cdot 13} = \frac{54}{117}

Упростим дробь:

54117=613(делим числитель и знаменатель на 9)\frac{54}{117} = \frac{6}{13} \quad \text{(делим числитель и знаменатель на 9)}

Ответ:

613\frac{6}{13}

б)

23(9834)\frac{2}{3} \cdot \left( \frac{9}{8} — \frac{3}{4} \right)

Приводим дроби к общему знаменателю:

9834=9868=38\frac{9}{8} — \frac{3}{4} = \frac{9}{8} — \frac{6}{8} = \frac{3}{8}

Умножаем на 23\frac{2}{3}:

2338=2338=624\frac{2}{3} \cdot \frac{3}{8} = \frac{2 \cdot 3}{3 \cdot 8} = \frac{6}{24}

Упрощаем дробь:

624=14(делим числитель и знаменатель на 6)\frac{6}{24} = \frac{1}{4} \quad \text{(делим числитель и знаменатель на 6)}

Ответ:

14\frac{1}{4}

в)

(911411)115\left( \frac{9}{11} — \frac{4}{11} \right) \cdot \frac{11}{5}

Складываем дроби с одинаковыми знаменателями:

911411=9411=511\frac{9}{11} — \frac{4}{11} = \frac{9 — 4}{11} = \frac{5}{11}

Умножаем на 115\frac{11}{5}:

511115=511115=5555=1\frac{5}{11} \cdot \frac{11}{5} = \frac{5 \cdot 11}{11 \cdot 5} = \frac{55}{55} = 1

Ответ:

11

г)

218+712372 \cdot \frac{1}{8} + \frac{7}{12} \cdot \frac{3}{7}

Умножаем 2182 \cdot \frac{1}{8}:

218=28=142 \cdot \frac{1}{8} = \frac{2}{8} = \frac{1}{4}

Умножаем 71237\frac{7}{12} \cdot \frac{3}{7}:

71237=73127=2184=14\frac{7}{12} \cdot \frac{3}{7} = \frac{7 \cdot 3}{12 \cdot 7} = \frac{21}{84} = \frac{1}{4}

Складываем результаты:

14+14=24=12\frac{1}{4} + \frac{1}{4} = \frac{2}{4} = \frac{1}{2}

Ответ:

12\frac{1}{2}

д)

(23)2+1321726518\left( \frac{2}{3} \right)^2 + \frac{13}{21} \cdot \frac{7}{26} — \frac{5}{18}

Возводим 23\frac{2}{3} в квадрат:

(23)2=49\left( \frac{2}{3} \right)^2 = \frac{4}{9}

Умножаем 1321726\frac{13}{21} \cdot \frac{7}{26}:

1372126=91546=16(упрощаем дробь на 91)\frac{13 \cdot 7}{21 \cdot 26} = \frac{91}{546} = \frac{1}{6} \quad \text{(упрощаем дробь на 91)}

Складываем и вычитаем дроби с общим знаменателем 18:

49=818,16=318,518(оставляем как есть)\frac{4}{9} = \frac{8}{18}, \quad \frac{1}{6} = \frac{3}{18}, \quad \frac{5}{18} \quad \text{(оставляем как есть)} 818+318518=618=13\frac{8}{18} + \frac{3}{18} — \frac{5}{18} = \frac{6}{18} = \frac{1}{3}

Ответ:

13\frac{1}{3}

е)

(3717)24916+(12)3\left( \frac{3}{7} — \frac{1}{7} \right)^2 \cdot \frac{49}{16} + \left( \frac{1}{2} \right)^3

Вычитаем дроби:

3717=27\frac{3}{7} — \frac{1}{7} = \frac{2}{7}

Возводим 27\frac{2}{7} в квадрат:

(27)2=449\left( \frac{2}{7} \right)^2 = \frac{4}{49}

Умножаем на 4916\frac{49}{16}:

4494916=416=14\frac{4}{49} \cdot \frac{49}{16} = \frac{4}{16} = \frac{1}{4}

Возводим 12\frac{1}{2} в куб:

(12)3=18\left( \frac{1}{2} \right)^3 = \frac{1}{8}

Складываем результаты:

14+18=28+18=38\frac{1}{4} + \frac{1}{8} = \frac{2}{8} + \frac{1}{8} = \frac{3}{8}

Ответ:

38\frac{3}{8}

Ответ:

а) 613,б) 14,в) 1,г) 12,д) 13,е) 38\boxed{ \text{а) } \frac{6}{13}, \quad \text{б) } \frac{1}{4}, \quad \text{в) } 1, \quad \text{г) } \frac{1}{2}, \quad \text{д) } \frac{1}{3}, \quad \text{е) } \frac{3}{8} }



Общая оценка
3.7 / 5
Комментарии
  • 🙂
  • 😁
  • 🤣
  • 🙃
  • 😊
  • 😍
  • 😐
  • 😡
  • 😎
  • 🙁
  • 😩
  • 😱
  • 😢
  • 💩
  • 💣
  • 💯
  • 👍
  • 👎
В ответ юзеру:
Редактирование комментария

Оставь свой отзыв 💬

Комментариев пока нет, будьте первым!

Другие учебники
Другие предметы
Как пользоваться ГДЗ

Любой навык лучше отрабатывать самостоятельной практикой, и решение задач — не исключение. Прежде чем обратиться к подсказкам, стоит попробовать справиться с заданием, опираясь на свои знания. Если дойти до конца удалось — проверить ответ и в случае расхождений сверить своё решение с правильным.