
ГДЗ по математике 5 класс к учебнику Виленкина, Жохова – это незаменимый помощник для школьников, осваивающих основы математики. Он помогает лучше понять материал, закрепить навыки и успешно справляться с домашними заданиями.
ГДЗ по Математике 5 Класс Часть 2 Номер 5.470 Виленкин, Жохов — Подробные Ответы
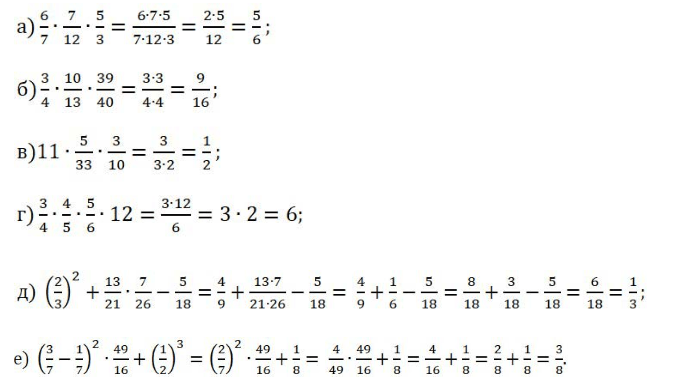
Найдите значение выражения:

а)
Нужно вычислить выражение:
Сначала перемножим числители и знаменатели всех дробей:
Упростим дробь, заметив, что в числителе и знаменателе сокращаются:
Упростим оставшиеся множители:
Приведем дробь к наименьшему общему знаменателю, сократив на 6:
Ответ:
б)
Нужно вычислить выражение:
Перемножаем числители и знаменатели дробей:
Упростим выражение:
Ответ:
в)
Нужно вычислить выражение:
Перемножаем числители и знаменатели:
Упростим выражение, сокращая и на 11, а затем и на 5:
Ответ:
г)
Нужно вычислить выражение:
Перемножаем дроби:
Сокращаем одинаковые множители в числителе и знаменателе:
Упростим дробь:
Ответ:
д)
Нужно вычислить выражение:
Сначала возведем дробь в квадрат:
Перемножим дроби:
Упростим дробь, сократив на 13:
Теперь, собираем все выражения:
Приводим все дроби к общему знаменателю (18):
Складываем и вычитаем дроби:
Ответ:
е)
Нужно вычислить выражение:
Вычитаем дроби:
Возводим в квадрат:
Перемножаем дроби:
Возводим в куб:
Складываем дроби с общим знаменателем (8):
Ответ:
Ответ:

Любой навык лучше отрабатывать самостоятельной практикой, и решение задач — не исключение. Прежде чем обратиться к подсказкам, стоит попробовать справиться с заданием, опираясь на свои знания. Если дойти до конца удалось — проверить ответ и в случае расхождений сверить своё решение с правильным.




Оставь свой отзыв 💬
Комментариев пока нет, будьте первым!